piecewise_linear_distribution 模板定义了浮点值的连续分布,它的概率密度函数是从一系列的样本值所定义的点得到的。每个样本值的权重都决定了它的概率密度值。图 1 展示了一个示...
piecewise_linear_distribution 模板定义了浮点值的连续分布,它的概率密度函数是从一系列的样本值所定义的点得到的。每个样本值的权重都决定了它的概率密度值。图 1 展示了一个示例。

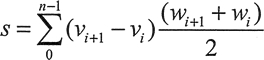
图 1 分段线性分布
图 1 展示了由 5 个定义在容器 v 中的样本值确定的分布。每个值都有权重,权重是由 w 容器中对应的元素定义的,每个权重确定了对应值的概率密度。
一个样本和另一个样本之间的概率密度值是线性的,在这两个样本的概率密度之间。构造函数的前两个参数是指定值序列的迭代器,第三个参数指向 weights 序列中第一个元素的迭代器。这个以分段线性曲线表示概率密度的分布会生成从 10 到 60 的随机值。分布中的样本值可以通过调用它的成员函数 intervals() 来获取。可以通过调用这个分布对象的 densities() 来得到一个包含这些概率密度的 vector 容器。
确定整个序列中值的概率密度有些复杂。整个概率曲线下的面积表示的是整个序列中出现的任何值的概率,因此必须是 1。为了适应这种情况,区间内值的概率可以按如下方式来计算,首先计算出定义区间的权重值的平均数乘以区间的长度之和。因此,s 可以由下面这个等式定义:

vi 是样本值,wi 是它们对应的权重。
两个样本值之间的区间内任意值 x 的概率是 p,[vi ,vi +1) 是由样本值概率的线性组合决定的,每个区间末尾所共享的概率和 x 到样本值的距离成正比。下面用数学术语来表示 x 的概率:

在图 1 所示的示例中,s 为 (30-10)x(12+6)/2+(40-30)x(9+12)/2+(55-40)x(6+9)/2+(60-55)x(0+6)/2,等于412.5。
第 i 个样本值的概率为 wi /s,因此图 1 中的概率值为 6/412.5、12/412.5、9/412.5、6/412.5 和 0/412.5。计算器指出它们分别对应于 0.0145、0.029、0.0218、0.0145 和 0。这里有一个示例,可以展示这是否正确,而且可以展示分段线性分布的全部特性:
// Demonstrating the piecewise linear distribution
#include <random> // For distributions and random number generator
#include <vector> // For vector container
#include <map> // For map container
#include <utility> // For pair type
#include <algorithm> // For copy(), count(), remove()
#include <iostream> // For standard streams
#include <iterator> // For stream iterators
#include <iomanip> // For stream manipulators
#include <string> // For string class
using std::string;
int main()
{
std::vector<double> v {10, 30, 40, 55, 60}; // Sample values
std::vector<double> w {6, 12, 9, 6, 0}; // Weights for the samples
std::piecewise_linear_distribution<> d {std::begin(v), std::end(v), std::begin(w)};
// Output the interval boundaries and the interval probabilities
auto values = d.intervals();
std::cout << "Sample values: ";
std::copy(std::begin(values), std::end(values), std::ostream_iterator<double>{std::cout, " "});
std::cout << " probability densities: ";
auto probs = d.densities();
std::copy(std::begin(probs), std::end(probs), std::ostream_iterator<double>{std::cout, " "});
std::cout << '\n' << std::endl;
std::random_device rd;
std::default_random_engine rng {rd()};
std::map<int, size_t> results; //Stores and counts random values as integers
// Generate a lot of random values...
for(size_t i {}; i < 20000; ++i)
++results[static_cast<int>(std::round(d(rng)))];
// Plot the integer values
auto max_count = std::max_element(std::begin(results), std::end(results),[](const std::pair<int, size_t>& pr1, const std::pair<int, size_t>& pr2)
{ return pr1.second < pr2.second; })->second;
std::for_each(std::begin(results), std::end(results),[max_count](const std::pair<int, size_t>& pr)
{ if(!(pr.first % 10)) // Display value if multiple of 10
std::cout << std::setw(3) << pr.first << "-|";
else
std::cout << " |";
std::cout << std::string(pr.second * 80 / max_count, '*')<< '\n'; });
}该程序的输出结果为:
Sample values: 10 30 40 55 60 probability densities: 0.0145455 0.0290909 0.0218182 0.0145455 0
10-|**********************
|*******************************************
|*******************************************
|***************************************
|*********************************************
|*****************************************************
|**************************************************
|*********************************************************
|********************************************************
|**************************************************************
20-|*********************************************************
|*************************************************************
|************************************************************
|******************************************************************
|******************************************************************
|**********************************************************************
|***************************************************************************
|*****************************************************************************
|******************************************************************************
|*******************************************************************************
30-|*****************************************************************************
|********************************************************************************
|****************************************************************************
|********************************************************************
|************************************************************************
|******************************************************************************
|************************************************************************
|********************************************************************
|************************************************************
|***********************************************************
40-|**************************************************************
|************************************************************
|*****************************************************
|*******************************************************
|*********************************************************
|********************************************************
|***********************************************
|***********************************************
|*************************************************
|**********************************************
50-|******************************************
|***********************************************
|********************************************
|*******************************************
|***************************************
|**************************************
|**********************************
|**********************
|**************
|******
60-|*
这和用计算器计算出的概率密度非常相似。此分布为定义任何形状的概率密度函数提供了一个强有力的工具。